Fillable College Roommate Agreement Document

Fillable College Roommate Agreement Document

The College Roommate Agreement form is a helpful tool designed to outline expectations and responsibilities between college roommates. By establishing clear guidelines, this agreement can foster a harmonious living environment and prevent misunderstandings. Ready to create a positive roommate experience? Fill out the form by clicking the button below.

Article Guide

Entering college is an exciting time, filled with new experiences and opportunities. One of the most significant aspects of this journey is living with a roommate. To help ensure a positive living environment, many students choose to create a College Roommate Agreement. This form serves as a guide to establish clear expectations and boundaries between roommates. It typically covers essential topics such as cleanliness, shared responsibilities, and quiet hours. By addressing these important issues upfront, students can reduce misunderstandings and foster a respectful atmosphere. Additionally, the agreement may include details about guests, shared expenses, and personal space. With a well-thought-out roommate agreement, students can focus more on their studies and enjoy their college experience, knowing they have a solid foundation for their living arrangement.

College Roommate Agreement Preview

College Roommate Agreement

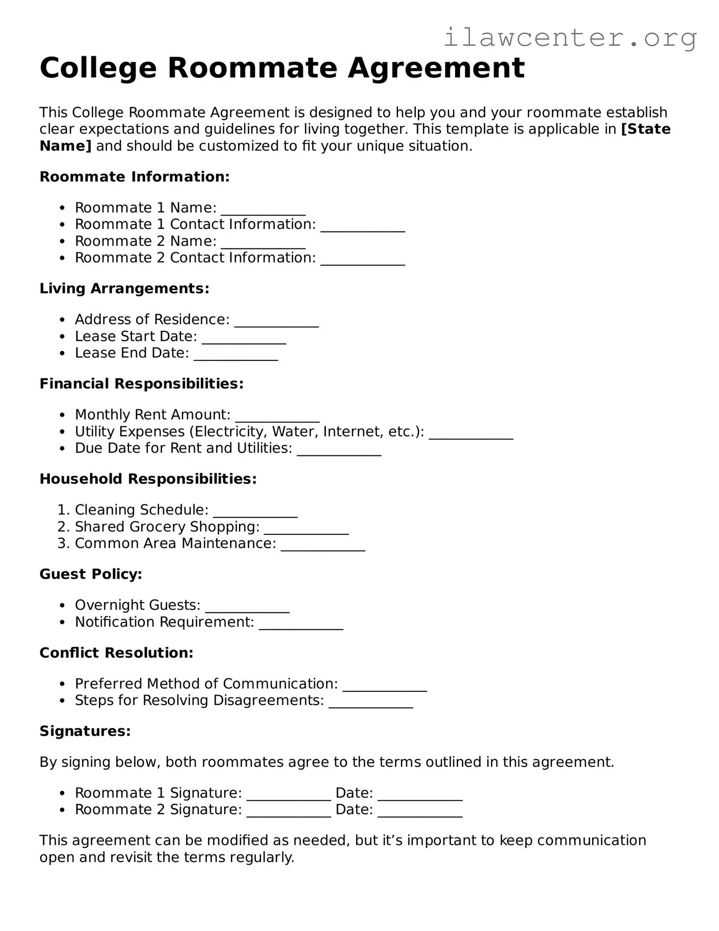
This College Roommate Agreement is designed to help you and your roommate establish clear expectations and guidelines for living together. This template is applicable in [State Name] and should be customized to fit your unique situation.

Roommate Information:

  • Roommate 1 Name: ____________
  • Roommate 1 Contact Information: ____________
  • Roommate 2 Name: ____________
  • Roommate 2 Contact Information: ____________

Living Arrangements:

  • Address of Residence: ____________
  • Lease Start Date: ____________
  • Lease End Date: ____________

Financial Responsibilities:

  • Monthly Rent Amount: ____________
  • Utility Expenses (Electricity, Water, Internet, etc.): ____________
  • Due Date for Rent and Utilities: ____________

Household Responsibilities:

  1. Cleaning Schedule: ____________
  2. Shared Grocery Shopping: ____________
  3. Common Area Maintenance: ____________

Guest Policy:

  • Overnight Guests: ____________
  • Notification Requirement: ____________

Conflict Resolution:

  • Preferred Method of Communication: ____________
  • Steps for Resolving Disagreements: ____________

Signatures:

By signing below, both roommates agree to the terms outlined in this agreement.

  • Roommate 1 Signature: ____________ Date: ____________
  • Roommate 2 Signature: ____________ Date: ____________

This agreement can be modified as needed, but it’s important to keep communication open and revisit the terms regularly.

PDF Form Characteristics

Fact Name Description
Purpose The College Roommate Agreement form is designed to help roommates establish clear expectations and guidelines for living together.
Key Components This agreement typically includes sections on shared responsibilities, communication preferences, and conflict resolution strategies.
Mutual Agreement All roommates should review and sign the agreement to ensure that everyone is on the same page regarding their living situation.
Flexibility The agreement can be adjusted as needed, allowing roommates to revisit and modify terms as their living situation evolves.
State-Specific Forms Some states may have specific guidelines or templates for roommate agreements, which can be beneficial for legal clarity.
Governing Laws In states like California, roommate agreements are governed by general contract laws, while other states may have specific housing regulations.
Conflict Resolution The agreement often includes methods for resolving disputes, encouraging open communication and compromise among roommates.
Importance of Communication Regular check-ins and discussions about the agreement can help maintain a harmonious living environment.
Documentation Keeping a copy of the signed agreement can serve as a reference point if disagreements arise in the future.

Instructions on Utilizing College Roommate Agreement

Completing the College Roommate Agreement form is an important step in establishing a positive living environment. This form allows roommates to discuss and agree on various aspects of their shared living space, helping to set clear expectations and minimize conflicts.

  1. Start by gathering all necessary personal information. This includes your full name, email address, and phone number.
  2. Discuss with your roommate(s) to determine how you will share responsibilities. This may involve chores, groceries, and other household tasks.
  3. Identify your preferences regarding noise levels, guests, and study times. Open communication is key to understanding each other's needs.
  4. Fill out the form by entering the agreed-upon information in the designated fields. Ensure that all roommates' details are included.
  5. Review the completed form together to confirm that all sections accurately reflect your discussions.
  6. Sign and date the form once all roommates are in agreement. This signifies mutual understanding and commitment to the terms outlined.
  7. Keep a copy of the signed agreement for future reference. This will serve as a helpful reminder of your commitments.

Important Facts about College Roommate Agreement

What is a College Roommate Agreement form?

The College Roommate Agreement form is a document designed to help college students establish clear expectations and guidelines for living together. It covers various aspects of shared living, including responsibilities, privacy, noise levels, and guest policies. By signing this agreement, roommates can minimize conflicts and promote a harmonious living environment throughout the school year.

Why should I use a College Roommate Agreement?

Using a College Roommate Agreement can significantly reduce misunderstandings and disputes between roommates. It encourages open communication about each person's preferences and habits. By discussing these topics upfront, roommates can set boundaries and create a respectful living space. This proactive approach can lead to a more enjoyable college experience for everyone involved.

What topics are typically included in the agreement?

A typical College Roommate Agreement includes topics such as cleaning responsibilities, shared expenses, quiet hours, guest policies, and personal space. Each section allows roommates to express their views and come to a mutual understanding. Additional considerations, like study habits and shared items, may also be included to ensure all aspects of living together are addressed.

How do I fill out the College Roommate Agreement form?

To fill out the College Roommate Agreement form, start by discussing each section with your roommate. It's essential to communicate openly about your preferences and expectations. After both parties agree on the terms, write down the details in the form. Ensure that both roommates sign and date the agreement to make it official. Keeping a copy for reference can also be helpful in case any issues arise later.

Can the College Roommate Agreement be modified later?

Yes, the College Roommate Agreement can be modified if circumstances change or if either roommate feels the need to revisit certain terms. It's important to communicate openly about any desired changes. Both roommates should agree to the modifications and sign the updated agreement. This flexibility allows for adjustments that can accommodate evolving living situations and preferences.

Common mistakes

Completing the College Roommate Agreement form is a critical step for establishing a harmonious living environment. However, many students make common mistakes that can lead to misunderstandings and conflicts. Awareness of these pitfalls can help ensure a smoother transition into college life.

One frequent error is failing to communicate openly with the roommate before filling out the form. Without discussing preferences and expectations, individuals may assume they are on the same page. This can result in disagreements over noise levels, cleanliness, and shared responsibilities.

Another mistake involves neglecting to read the entire agreement thoroughly. Skimming the document can lead to overlooking important sections that outline crucial aspects of cohabitation. It is essential to understand all provisions to avoid potential disputes later on.

Some students also underestimate the importance of setting boundaries. Leaving this section vague or unaddressed can lead to frustration. Clearly defining personal space, guest policies, and study hours can help prevent conflicts.

Additionally, many individuals fail to revisit and update the agreement as circumstances change. Life in college can be dynamic, and what worked at the beginning of the semester may not be suitable later. Regular check-ins can ensure that both roommates remain satisfied with the arrangement.

Another common oversight is not including all relevant details. Omitting specifics about shared items, such as kitchen supplies or cleaning duties, can create confusion. A comprehensive approach helps clarify responsibilities and expectations.

Some students may also rush to sign the agreement without taking the time to discuss it thoroughly. This can lead to unaddressed concerns and unresolved issues. Taking the time to review and negotiate terms can foster a better living situation.

Ignoring the roommate's preferences is another significant mistake. Each person has unique habits and preferences that should be acknowledged. Respecting these differences is key to a successful roommate relationship.

Finally, failing to keep a copy of the signed agreement can lead to problems. If disputes arise, having a reference point is crucial. Both roommates should retain a copy to ensure accountability and clarity.

By avoiding these common mistakes, students can enhance their college living experience. Open communication, attention to detail, and respect for one another's needs are vital for a successful roommate relationship.

Documents used along the form

The College Roommate Agreement form is a helpful tool for students living together in a dorm or apartment. It sets the stage for open communication and mutual respect, helping to prevent misunderstandings down the line. Alongside this form, several other documents can enhance the living experience and ensure a harmonious atmosphere. Here’s a look at some of these important forms and documents.

  • Housing Contract: This is a formal agreement between the student and the college or university. It outlines the terms of residence, including payment obligations, rules, and responsibilities of both parties.
  • Room Inventory Checklist: This document helps students record the condition of their room and its furnishings upon move-in. It can prevent disputes about damages when it’s time to move out.
  • Guest Policy Agreement: This outlines the rules regarding guests in the shared living space. It helps roommates agree on how many visitors are allowed and any restrictions on overnight stays.
  • Quiet Hours Policy: This document specifies designated times for quiet in the living space. Establishing these hours can minimize disruptions and help everyone focus on their studies.
  • Cleaning Schedule: A written plan detailing who is responsible for cleaning common areas and when. This promotes accountability and keeps the space tidy.
  • Conflict Resolution Plan: This outlines steps for resolving disputes between roommates. Having a plan can ease tensions and provide a clear path to finding solutions.
  • Shared Expenses Agreement: This document helps roommates keep track of shared costs, such as groceries or utilities. It ensures everyone knows their financial responsibilities.
  • Roommate Compatibility Questionnaire: A tool for students to assess their compatibility before living together. It can help identify potential conflicts based on lifestyle preferences.
  • Emergency Contact Information: A simple form where roommates can list emergency contacts for each other. This ensures that everyone knows who to reach out to in case of an emergency.

Utilizing these forms and documents can significantly improve the living situation for college roommates. By fostering clear communication and setting expectations, students can create a more enjoyable and supportive environment during their college years.

Similar forms

The College Roommate Agreement form serves as a vital tool for establishing harmony and understanding among roommates. Its structure and purpose bear resemblance to several other documents that help facilitate clear communication and expectations. Here are four documents similar to the College Roommate Agreement:

  • Lease Agreement: This formal document outlines the terms and conditions of renting a property. Like the College Roommate Agreement, it establishes responsibilities and expectations, ensuring all parties are on the same page regarding rent, utilities, and property maintenance.
  • Household Rules Document: This informal agreement typically lists the rules for shared living spaces. Much like the College Roommate Agreement, it helps prevent misunderstandings by clarifying expectations about cleanliness, noise levels, and guest policies.
  • Conflict Resolution Agreement: This document lays out procedures for addressing disputes among roommates. Similar to the College Roommate Agreement, it emphasizes the importance of communication and provides a framework for resolving issues amicably.
  • Shared Expenses Agreement: This form details how roommates will manage shared costs, such as groceries and utilities. Just as the College Roommate Agreement does, it aims to prevent conflicts by ensuring that everyone understands their financial obligations and contributions.

Dos and Don'ts

When filling out the College Roommate Agreement form, it’s important to approach the task thoughtfully. Here’s a list of things you should and shouldn't do to ensure a smooth living arrangement.

Things You Should Do:

  • Communicate openly with your roommate about preferences and expectations.
  • Be honest about your study habits and sleep schedule.
  • Discuss shared responsibilities like cleaning and grocery shopping.
  • Set clear boundaries regarding guests and quiet hours.

Things You Shouldn't Do:

  • Assume your roommate knows your preferences without discussing them.
  • Ignore the importance of compromise in your agreement.
  • Leave sections of the form blank; fill it out completely.
  • Be vague about issues that may lead to conflict later.

Misconceptions

The College Roommate Agreement form is a valuable tool for students living together in shared accommodations. However, several misconceptions can lead to misunderstandings about its purpose and use. Below is a list of common misconceptions along with clarifications.

  • It is a legally binding contract. Many believe the agreement is a legal document enforceable in court. In reality, it serves as a guideline to foster communication and cooperation among roommates.
  • Only one roommate needs to sign it. Some think that only one person's signature is sufficient. However, all roommates should sign to ensure mutual agreement and commitment.
  • It covers all potential conflicts. While the agreement addresses common issues, it cannot predict or resolve every possible conflict. Open communication remains essential.
  • It is only necessary for first-year students. Many assume that only freshmen need an agreement. In truth, any group of roommates can benefit from establishing clear expectations.
  • It is a waste of time. Some view the process as unnecessary. However, taking the time to discuss and document expectations can prevent misunderstandings later.
  • It is too formal for college life. Some students feel that the agreement is overly formal. Yet, it can be a casual and constructive way to address important topics.
  • It must be completed at the start of the semester. While many choose to fill it out at the beginning, it can be revisited and updated throughout the year as needs change.
  • Roommate agreements are only for shared living spaces. Some think the agreement is only applicable in traditional dorm settings. However, it can also be useful in off-campus housing arrangements.
  • Once signed, it cannot be changed. Many believe that the agreement is set in stone. In fact, roommates can and should revisit the agreement to make adjustments as necessary.

Understanding these misconceptions can help students use the College Roommate Agreement form more effectively, leading to a more harmonious living environment.

Key takeaways

Filling out a College Roommate Agreement form is an important step in establishing a positive living environment. Here are some key takeaways to consider:

  • Open Communication: Discuss expectations and preferences with your roommate openly. This sets a foundation for a respectful relationship.
  • Define Responsibilities: Clearly outline who is responsible for cleaning, paying bills, and other daily tasks. This helps prevent misunderstandings later on.
  • Set Boundaries: Agree on personal space and quiet hours. Respecting each other's boundaries is crucial for a harmonious living situation.
  • Discuss Guests: Establish rules regarding visitors. Knowing when and how often guests can come over helps maintain comfort for both roommates.
  • Address Conflicts: Include a plan for resolving disputes. Having a strategy in place can ease tensions when disagreements arise.
  • Review and Revise: Revisit the agreement periodically. As circumstances change, updating the agreement can keep things running smoothly.

By taking the time to fill out and utilize the College Roommate Agreement form, you can create a supportive and cooperative living arrangement. It's all about teamwork and mutual respect.